US 12,460,067 B2
Process for the preparation of modified silica, modified silica and its uses
Pascaline Garbey, Saint Didier Au Mont d'Or (FR); Philippe Marion, Vernaison (FR); Matthieu Corbet, Vourles (FR); Frédéric Colbeau-Justin, Leuville-sur-Orge (FR); and Thomas Galeandro-Diamant, Villeurbanne (FR)
Assigned to RHODIA OPERATIONS, Lyons (FR)
Filed by RHODIA OPERATIONS, Lyons (FR)
Filed on Apr. 15, 2022, as Appl. No. 17/722,188.
Application 17/722,188 is a continuation of application No. PCT/EP2020/078534, filed on Oct. 12, 2020.
Claims priority of application No. 19306339 (EP), filed on Oct. 15, 2019.
Prior Publication US 2022/0235200 A1, Jul. 28, 2022
Int. Cl. C08K 9/06 (2006.01); C08L 25/10 (2006.01)
CPC C08K 9/06 (2013.01) [C08L 25/10 (2013.01)] 9 Claims
 
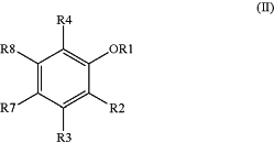
1. A modified silica comprising at least one compound, compound (A), of formula (II) in an amount expressed as total carbon, of from 1.0 wt % to 20.0 wt %:

OG Complex Work Unit Chemistry
wherein:
R1 is selected from the group consisting of H and optionally substituted, saturated or partially unsaturated, C1-C5 hydrocarbon radicals;
R2 is —OR1;
R3 and each of R4 are selected, independently of each other, from the group consisting of H, —OR5, —CHO, ═O, —COORS or R6; wherein R5 is selected from the group consisting of H, saturated or partially unsaturated C1-C75 hydrocarbon radicals, optionally substituted with heteroatoms selected from halogen, P, S, N, O and Si, or which can be fused together to form one or more aromatic or aliphatic cycle, and R6 is selected from the group of optionally substituted, saturated or partially unsaturated, C1-C75 hydrocarbon radicals, optionally substituted with heteroatoms selected from halogen, P, S, N, O and Si, or which can be fused together to form one or more aromatic or aliphatic cycle; —SO3X, wherein X is H, Na, or K;
and
R7 and R8 are selected, independently of each other, from the group consisting of optionally substituted, saturated or partially unsaturated, C1-C75 hydrocarbon radicals, optionally substituted with heteroatoms selected from halogen, P, S, N, O and Si, and R7 and R8 are fused together to form one or more aromatic cycle.