US 12,441,777 B2
GLP-1 receptor antagonists
Giles Albert Brown, Cambridge (GB); Miles Stuart Congreve, Cambridge (GB); and Conor Scully, Cambridge (GB)
Assigned to Nxera Pharma UK Limited, Cambridge (GB)
Appl. No. 17/284,351
Filed by NXERA PHARMA UK LIMITED, Cambridge (GB)
PCT Filed Oct. 14, 2019, PCT No. PCT/GB2019/052915
§ 371(c)(1), (2) Date Apr. 9, 2021,
PCT Pub. No. WO2020/074927, PCT Pub. Date Apr. 16, 2020.
Claims priority of application No. 1816639 (GB), filed on Oct. 12, 2018.
Prior Publication US 2021/0355186 A1, Nov. 18, 2021
Int. Cl. C07K 14/605 (2006.01); A61K 38/00 (2006.01)
CPC C07K 14/605 (2013.01) [A61K 38/00 (2013.01)] 17 Claims
 
1. A compound comprising a sequence of formula (1):

OG Complex Work Unit Chemistry
wherein;
R1 is H, NHR2, or CH2R2;
R2 is selected from (CH2)naryl and (CH2)nheteroaryl;
each n independently is 1 to 6;
AA1 is -Leu- or -Nle-;
AA2 is —NHCR3aR3bCO—;
R3a is hydrogen or a C1-3 alkyl group;
R3b is C1-6 alkyl, (CH2)naryl, (CH2)nOH, or (CH2)nOR4;
or
R3a joins with R3b to form a 3-6 membered ring, optionally containing one or more heteroatoms selected from N and O;
R4 is C1-6 alkyl;
X is a sequence: -Gln-AA3-Glu-AA4-Glu-AA5-Val-AA6-Leu-Phe-AA7-Glu-Trp-Leu-Lys-Asn-AA8-(SEQ ID NO: 1);
AA3 is -Met- or -Nle-; where when AA3 is -Met-, LysR is an N-substituted lysine residue;
AA4 is -Glu- or -Gln-;
AA5 is -Ser- or -Ala-;
AA6 is -Arg- or -DArg-;
AA7 is a group —NHCHR5CO—; where R5 is a C1-6 alkyl group;
AA8 is -Gly-, -Ser-, -DAla- or -βAla-;
Y is absent or is a sequence-AA9-AA10-AA11-AA12-AA13-AA14-AA15-AA16-AA17-AA18-AA19-
wherein AA9 is -Gly- or -Ser-;
AA10 is -Pro- or -Ser-;
AA11 is -Ser-, -DSer- or -Lys-;
AA12 is -Ser-, -DSer-, -Lys- or -Phe-;
AA13 is absent or is -Ser-, -DSer-, -Gly-, -Glu- or -Lys-;
AA14 is absent or is -Ser-, -DSer-, -Ala-, -Lys- or -Tyr-;
AA15 is absent or is -Ser-, -DSer-, -Pro-, -Glu- or -Lys-;
AA16 is absent or is -Ser-, -DSer-, -Pro-, -Lys- or -LysR-;
AA17 is absent or is -Pro- or -Glu-;
AA18 is absent or is -Ser- or -Tyr-;
AA19 is absent or is -Glu-;
wherein the X or Y C-terminus is a carboxyl group or a carboxamide group, or is adjoined to any natural or non-natural amino acid sequence or any other moiety, functional group or groups;
one of (i), (ii), or (iii):
(i) the group LysR is an unsubstituted lysine residue;
(ii) the group LysR is an N-substituted lysine residue, wherein the N-substituent is selected from: —CO(CH2)qCH3; —CO(CH2)qCO2H; —CO(CH2)qCHCH2; —COO(CH2)qCH3; —COO(CH2)qCO2H and —COO(CH2)qCHCH2; where q is 1 to 22; or
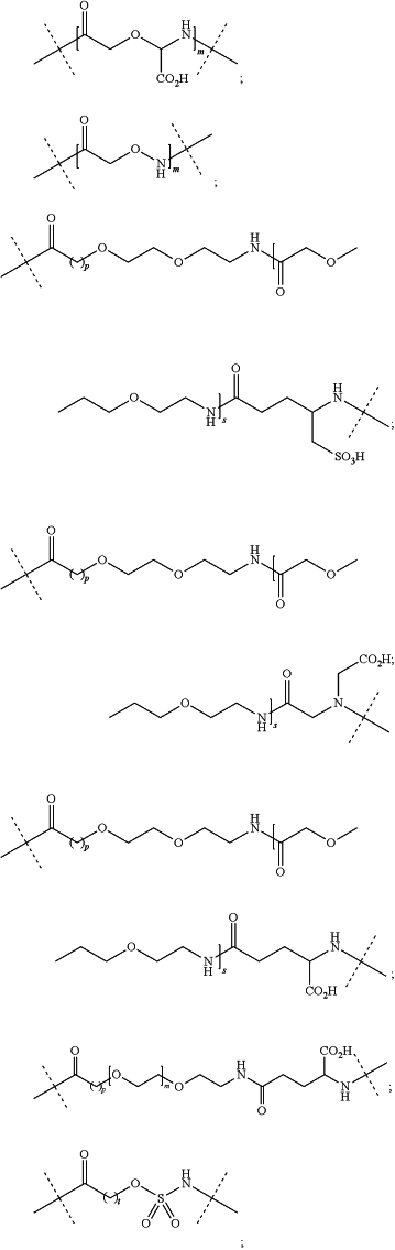
(iii) the group LysR is an N-substituted lysine residue, wherein the N-substituent is a group-L-G;
L is selected from the group consisting of:

OG Complex Work Unit Chemistry

OG Complex Work Unit Chemistry
G is selected from the group consisting of:

OG Complex Work Unit Chemistry
m is 1 to 23;
p is 1 to 3;
r is 1 to 20;
s is 0 to 3;
t is 0 to 4; and
w is 0 to 4;
or a tautomeric or stereochemically isomeric form thereof,
or a prodrug, salt, or zwitterion thereof.