US 12,441,736 B2
KIF18A inhibitors
Nuria A Tamayo, Newbury Park, CA (US); Abhisek Banerjee, Karnataka (IN); Michael J Frohn, Thousand Oaks, CA (US); Jian Jeffrey Chen, San Diego, CA (US); Kexue Li, Newbury Park, CA (US); Matthew Paul Bourbeau, Woodland Hills, CA (US); Lei Jia, San Diego, CA (US); Matthew Richard Kaller, Ventura, CA (US); Thomas T Nguyen, Newbury Park, CA (US); Nobuko Nishimura, West Hills, CA (US); Qiufen May Xue, Thousand Oaks, CA (US); and John Gordon Allen, Newbury Park, CA (US)
Assigned to AMGEN INC., Thousand Oaks, CA (US)
Appl. No. 17/416,410
Filed by AMGEN INC., Thousand Oaks, CA (US)
PCT Filed Dec. 20, 2019, PCT No. PCT/US2019/068174
§ 371(c)(1), (2) Date Jun. 18, 2021,
PCT Pub. No. WO2020/132653, PCT Pub. Date Jun. 25, 2020.
Claims priority of provisional application 62/783,053, filed on Dec. 20, 2018.
Prior Publication US 2022/0002311 A1, Jan. 6, 2022
Int. Cl. C07D 491/107 (2006.01); C07D 401/14 (2006.01); C07D 405/14 (2006.01); C07D 413/14 (2006.01); C07D 491/08 (2006.01)
CPC C07D 491/107 (2013.01) [C07D 401/14 (2013.01); C07D 405/14 (2013.01); C07D 413/14 (2013.01); C07D 491/08 (2013.01)] 31 Claims
 
1. A compound of formula I:

OG Complex Work Unit Chemistry
or any pharmaceutically-acceptable salt thereof, wherein:
X1 is N or CR6;
X2 is N or CR7;
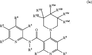
wherein L is —NR3—(C═O); X3 is N; and X4 is CR9; having the formula (Ia):

OG Complex Work Unit Chemistry
or
wherein L is —NR3—(C═O)—; X3 is CR8; and X4 is N; having the formula (Ib):

OG Complex Work Unit Chemistry
R1 is a group —Z—R12;
wherein Z is —C0-4alk-, —NR11—, —NR11SO2—C0-4alk-, —SO2NR11—C0-4alk-, —NR11SO2NR11—, —NR11SO2NR11—C(═O)—O—, —C0-4alk-S(═O)(═NH)—, C0-4alk-NR11—S(═O)(═NH), —C0-4alk-S—, —C0-4alk-S(═O)—, —C0-4alk-SO2—, —O—, —P—, —P(═O), —P(═O)2, —(C═O)—, —(C═O)NR11—, or —NR11(C═O); or
the group —Z—R12 is —N═S(═O)—(R12)2, wherein the two R12 pair can alternatively combine with the sulfur atom attached to each of them to form a saturated or partially-saturated 3-, 4-, 5-, or 6-membered monocyclic ring containing 0, 1, 2 or 3 N atoms and 0, 1, or 2 atoms selected from O and S;
R2 is halo or a group —Y—R13, wherein Y is —C0-4alk-, —N(C0-1alk)-C0-4alk-, —C(═O)NRaRa(C1-4alk)-, —O—C0-4alk-, —S—, —S═O, —S(═O)2—, —SO2N(C0-1alk)-C0-4alk-, —N(C0-1alk)-SO2—C0-4alk-, —C0-4alk-S(═O)(═NH)—, —(C═O)—, —C0-4alk-(C═O)—O—; or
the group —Y—R13 is —N═S(═O)—(R13)2, wherein the two R13 pair can alternatively combine with the sulfur atom attached to each of them to form a saturated or partially-saturated 3-, 4-, 5-, or 6-membered monocyclic ring containing 0, 1, 2 or 3 N atoms and 0, 1, or 2 atoms selected from O and S;
R3 is H, methyl, or ethyl;
R4 is H, halo, C1-4alk, or C1-4haloalk;
R5 is H, halo, C1-8alk, or C1-4haloalk;
R6 is H, halo, CN, —O—C0-6alk-, R6a or R6b;
R7 is H, halo, C1-4alk, or C1-4haloalk;
R8 is H, halo, C1-8alk, or C1-4haloalk;
R9 is H, halo, C1-4alk, or C1-4haloalk;
Each of R10c, R10d, R10i, and R10j is H,
each of R10a and R10b pair combine with the carbon atom attached to each of them to form a saturated 3-, 4-, 5-, 6-membered monocyclic ring spiro to the Rx ring; wherein said 3-, 4-, 5-, 6-membered monocyclic ring contains 0, 1, 2 or 3 N atoms and 0, 1, or 2 atoms selected from O and S, and further wherein said 3-, 4-, 5-, 6-membered monocyclic ring is substituted by 0, 1, 2 or 3 group(s) selected from F, Cl, Br, C1-6alk, C1-4haloalk, —ORa, —OC1-4haloalk, CN, —NRaRa, or oxo;
R11 is H or C1-8alk;
R12 is H, halo, R12a, or R12b;
R13 is R13a or R13b;
R6a, R12a, and R13a is independently, at each instance, selected from the group consisting of a saturated, partially-saturated or unsaturated 3-, 4-, 5-, 6-, or 7-membered monocyclic or 4-, 5-, 6-, 7-, 8-, 9-, 10-, 11-, or 12-membered bicyclic ring containing 0, 1, 2 or 3 N atoms and 0, 1, or 2 atoms selected from O and S, which is substituted by 0, 1, 2 or 3 group(s) selected from F, Cl, Br, C1-6alk, C1-4haloalk, —ORa, —OC1-4haloalk, CN, —C(═O)Rb, —C(═O)ORa, —C(═O)NRaRa, —C(═NRa)NRaRa, —OC(═O)Rb, —OC(═O)NRaRa, —OC2-6alkNRaRa, —OC2-6alkORa, —SRa, —S(═O)Rb, —S(═O)2Rb, —S(═O)2NRaRa, —NRaRa, —N(Ra)C(═O)Rb, —N(Ra)C(═O)ORb, —N(Ra)C(═O)NRaRa, —N(Ra)C(═NRa)NRaRa, —N(Ra)S(═O)2Rb, —N(Ra) S(═O)2NRaRa, —NRaC2-6alkNRaRa, —NRaC2-6alkORa, —C1-6alkNRaRa, —C1-6alkORa, —C1-6alkN(Ra)C(═O)Rb, —C1-6alkOC(═O)Rb, —C1-6alkC(═O)NRaRa, —C1-6alkC(═O)ORa, R14, and oxo;
R6b, R12b, and R13b is independently, at each instance, selected from the group consisting of C1-6alk substituted by 0, 1, 2, 3, 4, or 5 group(s) selected from F, Cl, Br, —C(═O)ORa, —ORa, —C1-2haloalk, —OC1-4haloalk, CN, NH2, NH (CH3), or N (CH3)2;
R14 is selected from the group consisting of a saturated, partially-saturated or unsaturated 3-, 4-, 5-, 6-, or 7-membered monocyclic or 4-, 5-, 6-, 7-, 8-, 9-, 10-, 11-, or 12-membered bicyclic ring containing 0, 1, 2 or 3 N atoms and 0, 1, or 2 atoms selected from O and S, which is substituted by 0, 1, 2 or 3 group(s) selected from F, Cl, Br, C1-6alk, C1-4haloalk, —ORa, —OC1-4haloalk, CN, —C(═O)Rb, —C(═O)ORa, —C(═O)NRaRa, —C(═NRa)NRaRa, —OC(═O)Rb, —OC(═O)NRaRa, —OC2-6alkNRaRa, —OC2-6alkORa, —SRa, —S(═O)Rb, —S(═O)2Rb, —S(═O)2NRaRa, —NRaRa, —N(Ra)C(═O)Rb, —N(Ra)C(═O)ORb, —N(Ra)C(═O)NRaRa, —N(Ra)C(═NRa)NRaRa, —N(Ra)S(═O)2Rb, —N(Ra)S(═O)2NRaRa, —NRaC2-6alkNRaRa, —NRaC2-6alkORa, —C1-6alkNRaRa, —C1-6alkORa, —C1-6alkN(Ra)C(═O)Rb, —C1-6alkOC(═O)Rb, —C1-6alkC(═O)NRaRa, —C1-6alkC(═O)ORa, and oxo;
Ra is independently, at each instance, H or Rb; and
Rb is independently, at each instance, C1-6alk, phenyl, or benzyl, wherein the C1-6alk is being substituted by 0, 1, 2 or 3 substituents selected from halo, —OH, —OC1-4alk, —NH2, —NHC1-4alk, —OC(═O)C1-4alk, or —N(C1-4alk) C1-4alk; and the phenyl or benzyl is being substituted by 0, 1, 2 or 3 substituents selected from halo, C1-4alk, C1-3haloalk, —OH, —OC1-4alk, —NH2, —NHC1-4alk, —OC(═O)C1-4alk, or —N(C1-4alk) C1-4alk.