US 12,441,707 B2
Indazole compounds
Robert L. Hudkins, Virginia Beach, VA (US); and Daniel C. Bensen, Carlsbad, CA (US)
Assigned to TYRA BIOSCIENCES, INC., Carlsbad, CA (US)
Appl. No. 17/788,346
Filed by TYRA BIOSCIENCES, INC., Carlsbad, CA (US)
PCT Filed Dec. 30, 2020, PCT No. PCT/US2020/067415
§ 371(c)(1), (2) Date Jun. 23, 2022,
PCT Pub. No. WO2021/138391, PCT Pub. Date Jul. 8, 2021.
Claims priority of provisional application 63/047,600, filed on Jul. 2, 2020.
Claims priority of provisional application 62/954,939, filed on Dec. 30, 2019.
Prior Publication US 2023/0115528 A1, Apr. 13, 2023
Int. Cl. C07D 401/14 (2006.01); A61P 35/00 (2006.01); C07D 401/12 (2006.01)
CPC C07D 401/14 (2013.01) [A61P 35/00 (2018.01); C07D 401/12 (2013.01)] 23 Claims
 
1. A compound of Formula (I) or a pharmaceutically acceptable salt thereof:

OG Complex Work Unit Chemistry
wherein
Y is —C(O)—NR8—, —NR8C(O)—, —CR1═CR1—, or Y is absent;
each R1, where present, is independently —H, —F, —Cl, —C1-6alkyl, C1-6haloalkyl, C1-6alkoxy, or C1-6hydroxyalkyl;
R8, where present, is —H or —C1-6alkyl;
R2 is —H or optionally substituted C1-C3 alkyl;
X1 is CH, CR3, or N;
each instance of R3 can replace any —H of a CH within Ring A and each instance of R3 is independently —F, —Cl, —Br, optionally substituted C1-C6-alkyl, C1-6haloalkyl, C3-C6-cycloalkyl, or —OR9;
each instance of R9, where present, is independently —H, optionally substituted C1-C6-alkyl, or C1-6haloalkyl;
Q is optionally substituted phenyl, optionally substituted pyridinyl, optionally substituted pyrimidinyl, optionally substituted pyridazinyl, optionally substituted pyrazolyl, optionally substituted imidazolyl, optionally substituted thiazolyl, or optionally substituted pyrrolopyridinyl;
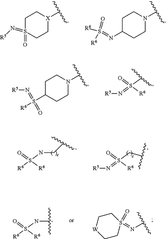
R4 is:

OG Complex Work Unit Chemistry
X is C—H or N;
R5 is —H, optionally substituted C1-C6-alkyl, or optionally substituted C3-C6-cycloalkyl;
each instance of R6 is independently optionally substituted C1-C6-alkyl, or optionally substituted C3-C6-cycloalkyl; or two R6 groups, together with the atoms to which they are attached, form a 4- to 7-membered ring;
W is —CH2—, —C(O)—, CH(OH), or —N(R7)—;
R7 is —H, optionally substituted —C1-C6-alkyl, —C1-C6-alkenyl, or optionally substituted —C3-C6-cycloalkyl;
c is 1 or 2;
wherein when Q, C1-C6-alkyl, or C3-C6-cycloalkyl is substituted, the substituent is one or more of —F, —Cl, Br, —OH, C1-C6-alkyl, —OR9, or —N(R9)2.