US 12,410,367 B2
Blue luminescent composition and organic electroluminescent device comprising blue luminescent composition
Zaihao Zheng, Hebei (CN); Pengjun Bu, Hebei (CN); Shiwen Yue, Hebei (CN); Zhicheng Cao, Hebei (CN); and Zenglin Zhang, Hebei (CN)
Assigned to SHIJIAZHUANG CHENGZHI YONGHUA DISPLAY MATERIAL CO., LTD., Hebei (CN)
Filed by Shijiazhuang Chengzhi Yonghua Display Material Co., Ltd., Hebei (CN)
Filed on Feb. 14, 2025, as Appl. No. 19/053,440.
Claims priority of application No. 202411530515.2 (CN), filed on Oct. 30, 2024.
Prior Publication US 2025/0188345 A1, Jun. 12, 2025
Int. Cl. H10K 50/12 (2023.01); C09K 11/02 (2006.01); C09K 11/06 (2006.01); H10K 85/60 (2023.01)
CPC C09K 11/06 (2013.01) [C09K 11/02 (2013.01); H10K 85/626 (2023.02); H10K 85/6574 (2023.02); H10K 85/658 (2023.02); C09K 2211/1007 (2013.01); C09K 2211/1011 (2013.01); C09K 2211/1018 (2013.01); H10K 50/12 (2023.02)] 12 Claims
 
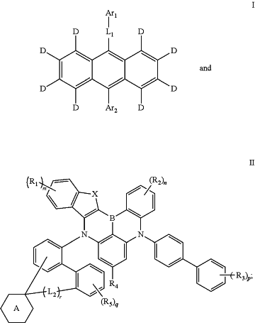
1. A blue luminescent composition, characterized in that the blue luminescent composition comprises a compound with a general structural formula as represented by Formula I and a compound with a general structural formula as represented by Formula II:

OG Complex Work Unit Chemistry
wherein in the Formula I,
Ar1 represents one of a deuterium-substituted or unsubstituted phenyl group, a deuterium-substituted or unsubstituted naphthyl group, a deuterium-substituted or unsubstituted phenanthryl group, or a deuterium-substituted or unsubstituted pyrenyl group;
L1 represents one of a single bond, a deuterium-substituted or unsubstituted phenylene group, and a deuterium-substituted or unsubstituted naphthylene group;

OG Complex Work Unit Chemistry
Ar2 represents
R11 to R14 and R21 to R24 each independently represent hydrogen or deuterium;
any one of R11 to R14 and R21 to R24 is bonded to the anthracene structure in Formula I; and
when any one of R11 to R14 is selected from deuterium, none of R21 to R24 is selected from deuterium; when none of R11 to R14 is selected from deuterium, at least one of R21 to R24 is selected from deuterium; and when any one of R11 to R14 and R21 to R24 is selected from deuterium, hydrogens in the same benzene ring to which the deuterium belongs are all replaced by deuterium; and
in Formula II,
ring A represents a substituted or unsubstituted cycloalkyl group with a carbon atom number of 3 to 10; and La represents a single bond;
R1, R2, R3, and R5 each independently represent any one of hydrogen, deuterium, halogen, a substituted or unsubstituted alkyl group with a carbon atom number of 1 to 30, a substituted or unsubstituted alkenyl group with a carbon atom number of 2 to 30, a substituted or unsubstituted cycloalkyl group with a carbon atom number of 3 to 30, a substituted or unsubstituted aryl group with a carbon atom number of 6 to 60, a substituted or unsubstituted heteroaryl group with a carbon atom number of 5 to 60, a substituted or unsubstituted fused cyclic aryl group with a carbon atom number of 5 to 60, a substituted or unsubstituted fused cyclic heteroaryl group with a carbon atom number of 5 to 60, and a substituted or unsubstituted amino group; two or more of R1, R2, R3, and R5 can be connected to each other to form a cyclic structure;
R4 represents any one of hydrogen, deuterium, halogen, a substituted or unsubstituted alkyl group with a carbon atom number of 1 to 30, a substituted or unsubstituted alkoxy group with a carbon atom number of 1 to 30, a substituted or unsubstituted cycloalkyl group with a carbon atom number of 3 to 30, a substituted or unsubstituted aryl group with a carbon atom number of 6 to 60, a substituted or unsubstituted heteroaryl group with a carbon atom number of 5 to 60, a substituted or unsubstituted fused cyclic aryl with a carbon atom number of 5 to 60, a substituted or unsubstituted fused cyclic heteroaryl with a carbon atom number of 5 to 60, and a substituted or unsubstituted amino group;
X represents O or S;
m, n, and q each independently represent 0, 1, 2, 3, or 4; when m represents 2, 3, or 4, R1 can be the same or different; when n represents 2, 3, or 4, R2 can be the same or different; and when q represents 2, 3, or 4, R5 can be the same or different;
p represents 0, 1, 2, 3, 4, or 5; and when p represents 2, 3, 4, or 5, R5 can be the same or different;
r represents 0 or 1;
substituents in ring A, R1, R2, R3, R4, and R5 can be the same or different and are each independently selected from one of deuterium, halogen, cyano, an alkyl group with a carbon atom number of 1 to 10, an aryl group with a carbon atom number of 6 to 60, a heteroaryl group with a carbon atom number of 5 to 60, a fused cyclic aryl group with a carbon atom number of 5 to 60, a cycloalkyl group with a carbon atom number of 3 to 30, and amino, wherein two or more of the substituents can be connected to each other to form an aliphatic ring, an aromatic ring, or a fused ring; and
in Formulas I and II, any hydrogen can be replaced by deuterium, any nitrogen can be replaced by 15N, any sulfur can be replaced by 33S, 34S, or 36S, any oxygen can be replaced by 17O or 18O, any carbon can be replaced by 13C, and any boron can be replaced by 11B.