US 12,410,366 B2
Infrared-emitting compound, and luminescent thin film, luminescent particle, wavelength conversion film and infrared-emitting surface light source containing same
Yasuo Miyata, Yokohama (JP); Noriko Ueda, Hachioji (JP); Hiroki Tatsumi, Toyohashi (JP); and Ryo Nakabayashi, Hachioji (JP)
Assigned to KONICA MINOLTA, INC., Tokyo (JP)
Appl. No. 17/430,719
Filed by Konica Minolta, Inc., Tokyo (JP)
PCT Filed Feb. 21, 2020, PCT No. PCT/JP2020/007000
§ 371(c)(1), (2) Date Aug. 12, 2021,
PCT Pub. No. WO2020/171199, PCT Pub. Date Aug. 27, 2020.
Claims priority of application No. 2019-030899 (JP), filed on Feb. 22, 2019.
Prior Publication US 2022/0135874 A1, May 5, 2022
This patent is subject to a terminal disclaimer.
Int. Cl. C09K 11/06 (2006.01); C07C 211/54 (2006.01); H10H 20/851 (2025.01)
CPC C09K 11/06 (2013.01) [C07C 211/54 (2013.01); H10H 20/8512 (2025.01); C09K 2211/107 (2013.01); C09K 2211/1081 (2013.01)] 8 Claims
 
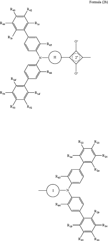
1. An infrared-emitting compound having a structure represented by the following Formula (2b):

OG Complex Work Unit Chemistry
in Formula (2b), R1a to R1d, R2a to R2d, R22 to R24, R32 to R34, R42 to R44, R52 to R54, and R63 to R66 each independently represent a hydrogen atom, an alkyl group, an alkoxy group, a phenoxy group, an amino group, an aryl group, or a heteroaryl group, but at least one of the combinations of R1a and R2a, R1b and R2b, R1c and R2c, and R1d and R2d does not both represent a hydrogen atom; R1a and R22, R2a and R24, R1b and R32, R2b and R34, R1c and R42, R2c and R44, R1d and R52, and R2d and R54 may be bonded respectively to form a ring structure; and ring H and ring I each independently represent an aryl group which may be substituted with a hydroxy group, an alkoxy group, an NHCORa group, in which Ra represents a hydrocarbon group, an NHSO2Rb group, in which Rb represents a hydrocarbon group, or an NHPO(ORf) (ORg) group, in which Rf and Rg each independently represent a hydrocarbon group.